当前位置: 首页  /  展厅导航  /  艰辛生活 /  维权道路

维权成本
“从劳动监察、劳动仲裁到诉讼,农民工要付出巨大的经济成本、时间成本,还有政府成本和法律援助成本。一般情况下,讨薪1000元需要付出综合成本至少3000元。这还是保守的计算。根据我们对17个案例的调查情况来看,每个案例的维权综合成本都超过1万元。根据全国总工会不完全统计,到2004年11月中旬,全国进城务工的农民工被拖欠的工资约有1000亿元。根据我们的结论,为了索要农民工的1000亿欠薪,整个社会至少要付出3000亿的成本。”
---《中国农民工维权成本调查报告》肖卫东

普法宣传

普法宣传

维权道路

维权道路

讨工资

讨工资

欠条

欠条

欠条

欠条

欠条

欠条

欠条

欠条

讨工资

讨工资

欠薪统计

欠薪统计

跳楼为讨要工资

跳楼为讨要工资

给我工资,我要回家

给我工资,我要回家

跳楼为讨要工资

跳楼为讨要工资

高楼大厦是用我们的汗水浇筑的

高楼大厦是用我们的汗水浇筑的

跳楼为讨要工资

跳楼为讨要工资

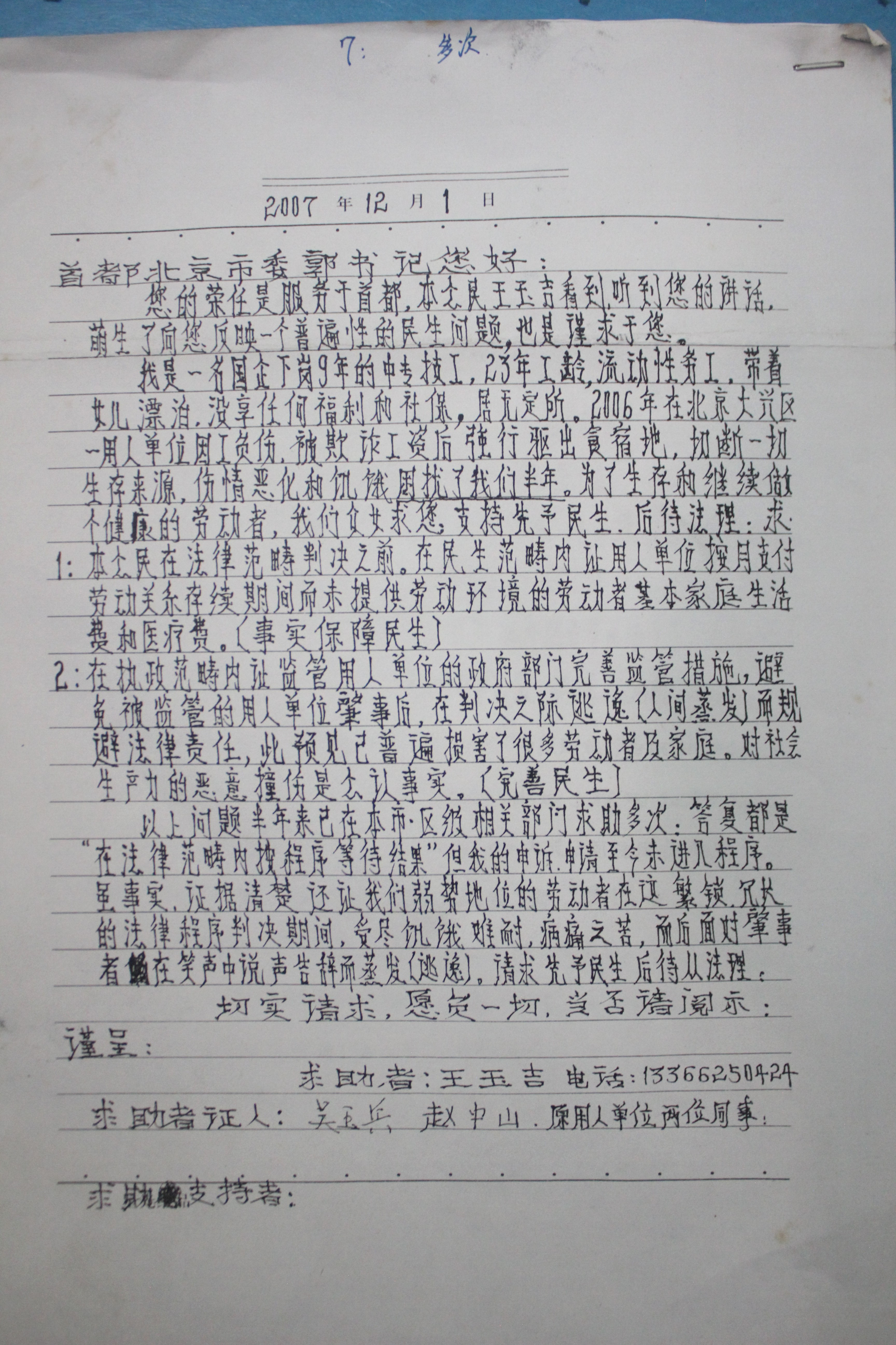
王玉吉维权经历

展柜一:王玉吉维权经历

展柜二:众多的部门 艰难的过程

职业介绍所现场招聘会入场券

职业介绍所现场招聘会入场券

员工辞退通知书

员工辞退通知书

入职员工承诺书

入职员工承诺书

一位工人写给劳动监察大队的举报信,“举报工厂严重违法的内容”

一位工人写给劳动监察大队的举报信,“举报工厂严重违法的内容”

宿舍管理制度

宿舍管理制度

受伤经过

公明社保站:
本人盘x天 身份证号:452323197*****5,男,1978年2月5日出生,家庭住址:广西全州县东山瑶族乡上塘材委洞洲上村101号,本人于2006年6月1日进深圳市江源五金制品厂,于2006年6月5日上午11:30分左右在一楼车间操伤生产型材冲压工序时,冲床机突然发生故障,将本人整个右手腕压碎,后被厂方送往公明宝田医院治疗,在事故发生后本人已到宝安工商局查询过该厂成立于2006年10月23日,我本人受伤日期是2006年6日5日,现本人特向国家的保险部门申请帮助,望社保部门迅速处理这件事为盼,谢谢!
受伤人:
2006-12-5

受伤经过

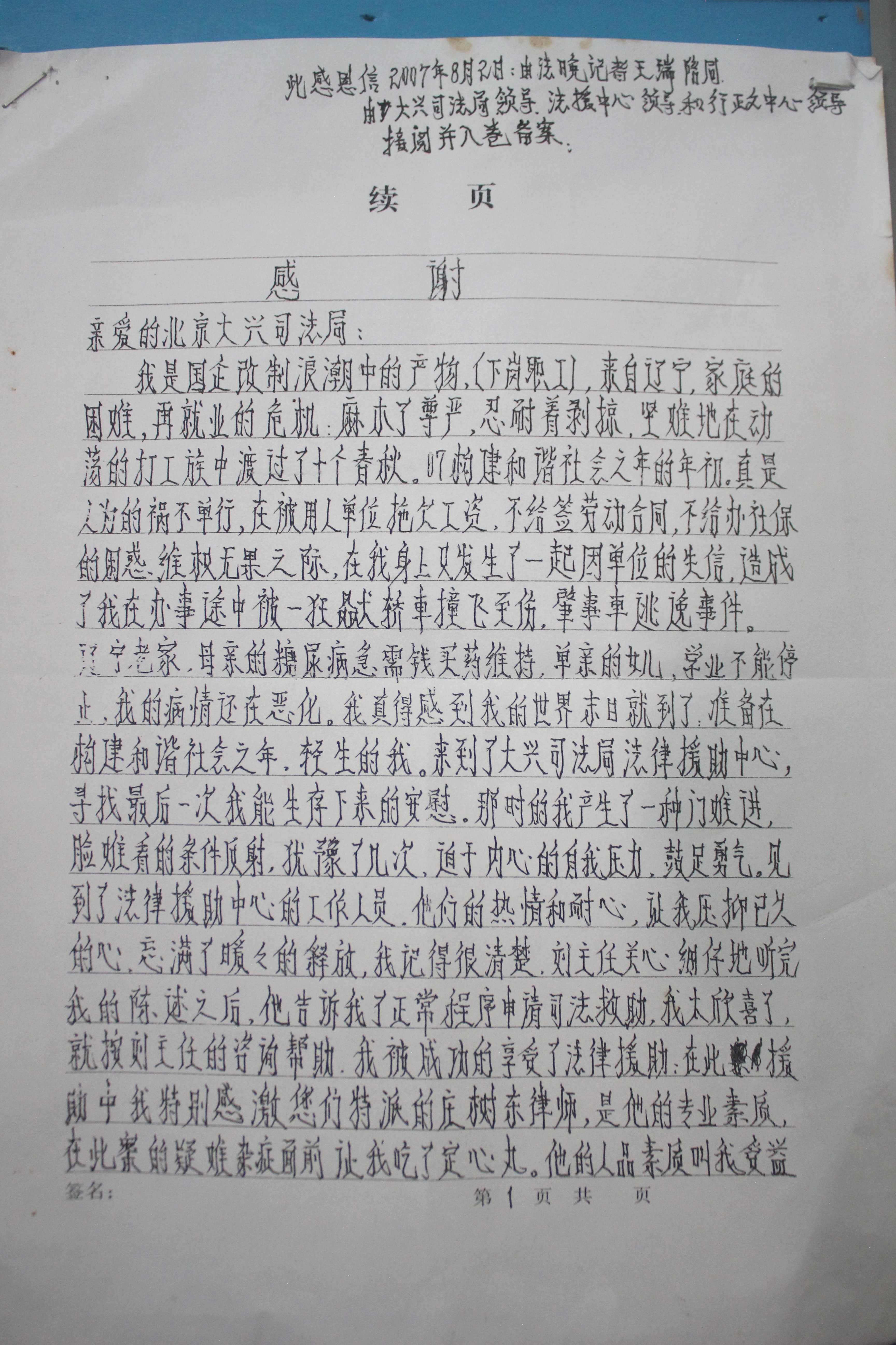
展柜三:相关证明

维权的艰难

拿到工资了

拿到工资了